€ 5.0985
|
$ 4.3417
|
Curs valutar: € 5.0985
|
$ 4.3417
 

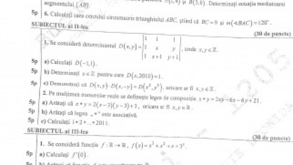
Subiectele la examenul de Bacalaureat 2011, sesiunea de toamnă, proba scrisă la Matematică, varianta 2. Rămâi pe De Ce News pentru a afla baremul de corectare

 

Vezi subiectele la examenul de Bacalaureat 2011, sesiunea august - septembrie 2011, proba scrisă la Matematică, varianta 2. specializările M1 şi M2. Rămâi pe De Ce News pentru a afla baremul de corectare, după ora 15.00.

UPDATE: Barem la matematică, la examenul de Bacalaureat, sesiunea de toamnă 2011, pentru varianta 2

Iată subiectele la matematică M1 (filiera teoretică, profilul real, specializarea matematică - informatică)

Iată subiectele la matematică M2 (filiera teoretică, profilul real, specializarea ştiinţele naturii)

in curs de actualizare

matematica-toamna-2011-m2 varianta 2

Google News icon  Fiți la curent cu ultimele noutăți. Urmăriți DCNews și pe Google News

Comentarii

Pentru a vedea sau a publica comentarii, te rugăm să te autentifici în Facebook.
 
 
 
 
 
x close