Ultimele știri
Politică
Război
Video
Lifestyle
Sănătate
Economie
Mai mult
▼
Facebook
YouTube
Instagram
Stiri
Diaspora
Internațional
Educație
Info utile
Justitie
Social
Stiinta
Anchete
Auto
Mass-media
Eveniment
Interviuri DCNews
Punctul pe zi
Bancul zilei
Comunicate de presa
Politica
Analiza Politica
Culise
Guvern
Parlament
Partide politice
Personalitati politice
Sondaje
Alegeri locale București 2025
Război
Video
Lifestyle
Retete
Modă
Vedete
Travel
Bizar
Magazin
Concursuri
Multimedia
Horoscop
Casa și Grădina
Beauty
Sanatate
Coronavirus
Academia de Sanatate
UMF Carol Davila
Economie
Educatie financiara
Sport
Personalitati din sport
Fotbal
Tenis
Volei
Handbal
Sporturi de iarna
Alte sporturi
Competitii
Cultura
Teatru - Dans
Film
Expozitii
Interviuri cultura
Muzica
Piata de arta
Carte
Tehnologie
IT & C
Mallcast
Politic
Monden
Social
Religie
Motivațional
Artiști și vedete
Curiozități
Tehnologie
Lifestyle
Siguranța rutieră din România
COMPAS
€ 5.2105
→
|
$ 4.4771
→
|
Subcategorii în Stiri
Diaspora
Internațional
Educatie
Info utile
Justiție
Social
Știinta
Anchete
Auto
Mass-media
Eveniment
Interviuri DCNews
Punctul pe zi
Bancul zilei
Comunicate de presa
Alegeri în două tururi
DCNews TV
Curs valutar:
€ 5.2105
→
|
$ 4.4771
→
Ultimele știri
Ultimele știri
Diaspora
Internațional
Educație
Info utile
Justitie
Social
Stiinta
Anchete
Auto
Mass-media
Eveniment
Interviuri DCNews
Punctul pe zi
Bancul zilei
Comunicate de presa
Politică
Politică
Analiza Politica
Culise
Guvern
Parlament
Partide politice
Personalitati politice
Sondaje
Alegeri locale București 2025
Război
Video
Lifestyle
Lifestyle
Retete
Modă
Vedete
Travel
Bizar
Magazin
Concursuri
Multimedia
Horoscop
Casa și Grădina
Beauty
Sănătate
Sănătate
Coronavirus
Academia de Sanatate
UMF Carol Davila
Economie
Economie
Educatie financiara
Sport
Sport
Personalitati din sport
Fotbal
Tenis
Volei
Handbal
Sporturi de iarna
Alte sporturi
Competitii
Cultură
Cultură
Teatru - Dans
Film
Expozitii
Interviuri cultura
Muzica
Piata de arta
Carte
Tehnologie
Tehnologie
IT & C
Mallcast
Mallcast
Politic
Monden
Social
Religie
Motivațional
Artiști și vedete
Curiozități
Tehnologie
Lifestyle
Siguranța rutieră din România
COMPAS
Poți descărca aplicația:
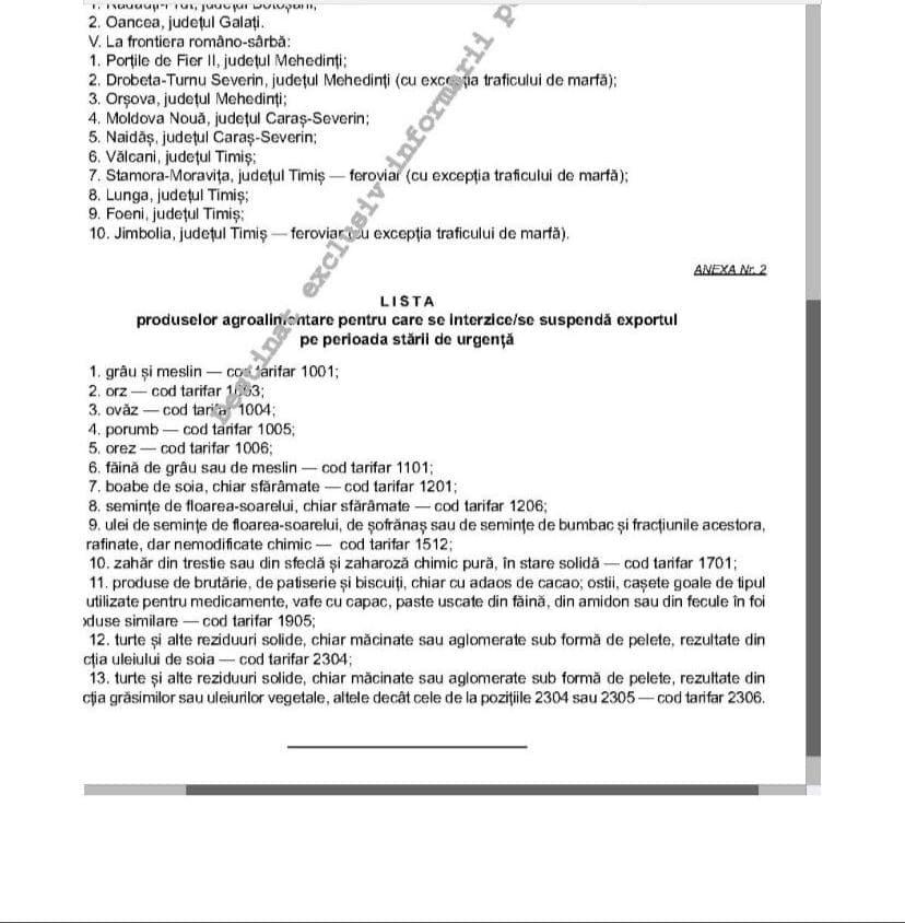
LISTA completă a produselor agroalimentare care nu pot fi exportate
← Înapoi la articol
← Înapoi la articol
Cele mai noi știri
Publicat acum 8 minute
Unde călătorești cel mai ieftin în Europa și ai și siguranță ridicată? Nu e vorba despre Spania sau Grecia!
Publicat acum 13 minute
Șeful spionajului din Finlanda trage frâna ambițiilor de independență ale UE: Mă tem că suntem un organism infiltrat de două tipuri de cancer
Publicat acum 36 minute
Cum a ajuns puiul cea mai consumată carne. Detaliul incredibil din trecut. La început nimeni nu se atingea de el
Publicat acum 41 minute
Hrăneşti urşii de pe Transfăgărăşan? Rişti amendă de până la 6000 euro. Legea a fost promulgată de Nicuşor Dan
Publicat acum 1 ora si 10 minute
Se reia licitația pentru Liberty Galați. Remus Borza: Astfel de tranzacții necesită însă analize complexe și timp
Cele mai citite știri
Publicat acum 8 ore si 53 minute
Sondaj de ultimă oră: Schimbarea majoră privind intenția de vot a românilor. Partidul care urcă pe locul 2 - FOTO
Publicat acum 4 ore si 53 minute
Explozie urmată de incendiu la o unitate militară din Botoșani: Doi militari au suferit arsuri. MApN, noi informații - UPDATE
Publicat acum 9 ore si 7 minute
Sorin Grindeanu, declarații de ultimă oră după consultările cu Nicușor Dan de la Cotroceni
Publicat acum 12 ore si 11 minute
Consultări maraton la Palatul Cotroceni pentru viitorul Guvern, cu Nicușor Dan. Cele mai importante informații, pe DCNews!
Publicat acum 5 ore si 53 minute
Singurul premier tehnocrat al României care a avut succes. Bogdan Chirieac: A funcționat o singură dată
De ce nu au venit Donald Trump şi Marco Rubio la Summitul Bucureşti B9
de
Val Vâlcu
Ioan Isaiu din Secretul Mariei a murit după o postare politică. Cum au explodat conspirațiile despre PSD, AUR și vaccin
de
Anca Murgoci
Atacul lui Kovesi la Dan, declanșarea ostilităților sau foc de avertisment?
de
Val Vâlcu
vezi arhiva de editoriale
x close