Ultimele știri
Politică
Război
Video
Lifestyle
Sănătate
Economie
Mai mult
▼
Facebook
YouTube
Instagram
Stiri
Diaspora
Internațional
Educație
Info utile
Justitie
Social
Stiinta
Anchete
Auto
Mass-media
Eveniment
Interviuri DCNews
Punctul pe zi
Bancul zilei
Comunicate de presa
Politica
Analiza Politica
Culise
Guvern
Parlament
Partide politice
Personalitati politice
Sondaje
Alegeri locale București 2025
Război
Video
Lifestyle
Retete
Modă
Vedete
Travel
Bizar
Magazin
Concursuri
Multimedia
Horoscop
Casa și Grădina
Beauty
Sanatate
Coronavirus
Academia de Sanatate
UMF Carol Davila
Economie
Educatie financiara
Sport
Personalitati din sport
Fotbal
Tenis
Volei
Handbal
Sporturi de iarna
Alte sporturi
Competitii
Cultura
Teatru - Dans
Film
Expozitii
Interviuri cultura
Muzica
Piata de arta
Carte
Tehnologie
IT & C
Mallcast
Politic
Monden
Social
Religie
Motivațional
Artiști și vedete
Curiozități
Tehnologie
Lifestyle
Siguranța rutieră din România
COMPAS
€ 5.2088
→
|
$ 4.4801
→
|
Subcategorii în Stiri
Diaspora
Internațional
Educatie
Info utile
Justiție
Social
Știinta
Anchete
Auto
Mass-media
Eveniment
Interviuri DCNews
Punctul pe zi
Bancul zilei
Comunicate de presa
Alegeri în două tururi
DCNews TV
Curs valutar:
€ 5.2088
→
|
$ 4.4801
→
Ultimele știri
Ultimele știri
Diaspora
Internațional
Educație
Info utile
Justitie
Social
Stiinta
Anchete
Auto
Mass-media
Eveniment
Interviuri DCNews
Punctul pe zi
Bancul zilei
Comunicate de presa
Politică
Politică
Analiza Politica
Culise
Guvern
Parlament
Partide politice
Personalitati politice
Sondaje
Alegeri locale București 2025
Război
Video
Lifestyle
Lifestyle
Retete
Modă
Vedete
Travel
Bizar
Magazin
Concursuri
Multimedia
Horoscop
Casa și Grădina
Beauty
Sănătate
Sănătate
Coronavirus
Academia de Sanatate
UMF Carol Davila
Economie
Economie
Educatie financiara
Sport
Sport
Personalitati din sport
Fotbal
Tenis
Volei
Handbal
Sporturi de iarna
Alte sporturi
Competitii
Cultură
Cultură
Teatru - Dans
Film
Expozitii
Interviuri cultura
Muzica
Piata de arta
Carte
Tehnologie
Tehnologie
IT & C
Mallcast
Mallcast
Politic
Monden
Social
Religie
Motivațional
Artiști și vedete
Curiozități
Tehnologie
Lifestyle
Siguranța rutieră din România
COMPAS
Poți descărca aplicația:
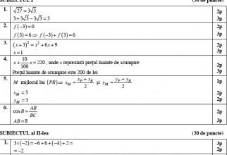
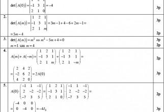
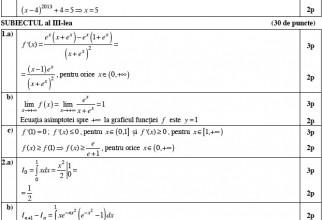
Bacalaureat 2013: Subiectele și baremele de la Matematică și Istorie, sesiunea august
← Înapoi la articol
← Înapoi la articol
Cele mai noi știri
Publicat acum 9 minute
Ce au aflat anchetatorii despre mecanicul de tren implicat în accidentul din Thailanda, soldat cu 8 morți și zeci de răniți
Publicat acum 10 minute
Australia, decizie legată de producția de pământuri rare
Publicat acum 10 minute
Românul care a compus piesa cu care Bulgaria a câştigat Eurovision 2026 a făcut parte din juriul național: "Alexandra Căpitănescu a fost preferata mea"
Publicat acum 29 minute
Prețul petrolului, la 20 de dolari de nivelul care induce o recesiune globală
Publicat acum 34 minute
Momentul prăbușirii a două avioane militare, surprins la un show aviatic din SUA | VIDEO
Cele mai citite știri
Publicat acum 2 ore si 1 minut
Horoscop 18 mai 2026. Astrolog Daniela Simulescu, previziunile pentru toate zodiile
Publicat acum 2 ore si 30 minute
Consultări maraton la Palatul Cotroceni pentru viitorul Guvern, cu Nicușor Dan. Cele mai importante informații, pe DCNews!
Publicat acum 1 ora si 6 minute
BANCUL ZILEI: "Darul" berzelor
Publicat acum 1 ora si 2 minute
Un lider al Jihadului Islamic şi fiica sa, uciși într-un atac israelian în Liban
Publicat acum 34 minute
Momentul prăbușirii a două avioane militare, surprins la un show aviatic din SUA | VIDEO
De ce nu au venit Donald Trump şi Marco Rubio la Summitul Bucureşti B9
de
Val Vâlcu
Ioan Isaiu din Secretul Mariei a murit după o postare politică. Cum au explodat conspirațiile despre PSD, AUR și vaccin
de
Anca Murgoci
Atacul lui Kovesi la Dan, declanșarea ostilităților sau foc de avertisment?
de
Val Vâlcu
vezi arhiva de editoriale
x close