Ultimele știri
Politică
Video
Lifestyle
Sănătate
Economie
Mai mult
▼
Facebook
YouTube
Instagram
Stiri
Diaspora
Internațional
Educație
Info utile
Justitie
Social
Stiinta
Anchete
Auto
Mass-media
Eveniment
Interviuri DCNews
Punctul pe zi
Bancul zilei
Comunicate de presa
Politica
Analiza Politica
Culise
Guvern
Parlament
Partide politice
Personalitati politice
Sondaje
Alegeri locale București 2025
Video
Lifestyle
Retete
Modă
Vedete
Travel
Bizar
Magazin
Concursuri
Multimedia
Horoscop
Casa și Grădina
Beauty
Sanatate
Coronavirus
Academia de Sanatate
UMF Carol Davila
Economie
Educatie financiara
Sport
Personalitati din sport
Fotbal
Tenis
Volei
Handbal
Sporturi de iarna
Alte sporturi
Competitii
Cultura
Teatru - Dans
Film
Expozitii
Interviuri cultura
Muzica
Piata de arta
Carte
Tehnologie
IT & C
Mallcast
Politic
Monden
Social
Religie
Motivațional
Artiști și vedete
Curiozități
Tehnologie
Lifestyle
Siguranța rutieră din România
COMPAS
€ 5.0953
→
|
$ 4.3179
→
|
Subcategorii în Stiri
Diaspora
Internațional
Educatie
Info utile
Justiție
Social
Știinta
Anchete
Auto
Mass-media
Eveniment
Interviuri DCNews
Punctul pe zi
Bancul zilei
Comunicate de presa
Alegeri în două tururi
DCNews TV
Curs valutar:
€ 5.0953
→
|
$ 4.3179
→
Ultimele știri
Ultimele știri
Diaspora
Internațional
Educație
Info utile
Justitie
Social
Stiinta
Anchete
Auto
Mass-media
Eveniment
Interviuri DCNews
Punctul pe zi
Bancul zilei
Comunicate de presa
Politică
Politică
Analiza Politica
Culise
Guvern
Parlament
Partide politice
Personalitati politice
Sondaje
Alegeri locale București 2025
Video
Lifestyle
Lifestyle
Retete
Modă
Vedete
Travel
Bizar
Magazin
Concursuri
Multimedia
Horoscop
Casa și Grădina
Beauty
Sănătate
Sănătate
Coronavirus
Academia de Sanatate
UMF Carol Davila
Economie
Economie
Educatie financiara
Sport
Sport
Personalitati din sport
Fotbal
Tenis
Volei
Handbal
Sporturi de iarna
Alte sporturi
Competitii
Cultură
Cultură
Teatru - Dans
Film
Expozitii
Interviuri cultura
Muzica
Piata de arta
Carte
Tehnologie
Tehnologie
IT & C
Mallcast
Mallcast
Politic
Monden
Social
Religie
Motivațional
Artiști și vedete
Curiozități
Tehnologie
Lifestyle
Siguranța rutieră din România
COMPAS
Poți descărca aplicația:
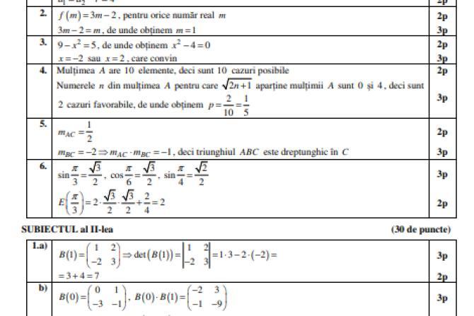
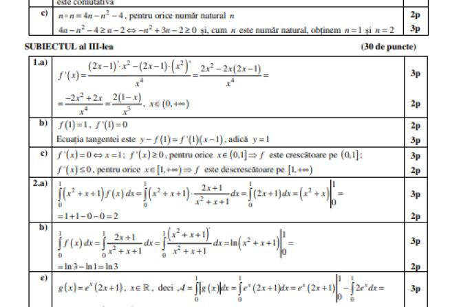
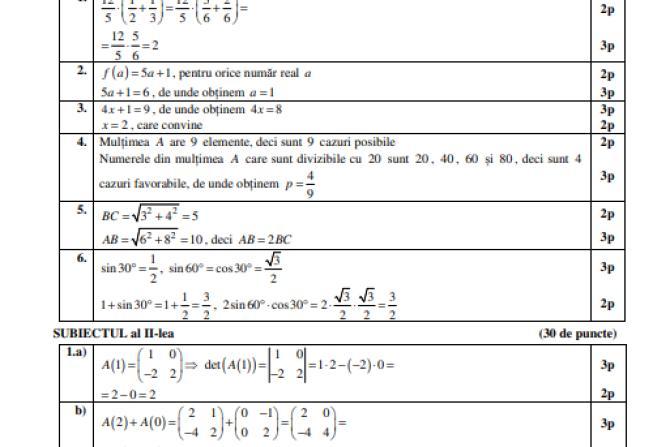
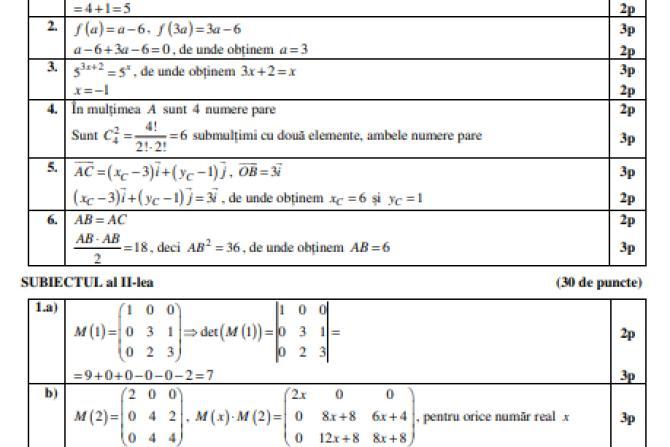
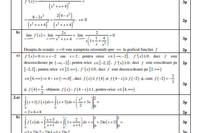
Baremele de corectare la Matematică și Istorie, la examenul de bacalaureat 2024
← Înapoi la articol
← Înapoi la articol
Cele mai noi știri
Publicat acum 36 minute
Benjamin Netanyahu, anunțul momentului: Acest război va duce la pace! E momentul să doborâți acest regim și să vă asigurați viitorul!
Publicat acum 39 minute
Răsturnare de situaţie cu Ali Khamenei? Purtătorul de cuvânt al ministerului de Externe iranian spune că "nu sunt în poziţia să confirm" dacă liderii Iranului sunt nevătămaţi după atacurile SUA şi Israel
Publicat acum 52 minute
MAE: Aproximativ 1.000 de români au solicitat sprijin consular. Nu există cetăţeni români răniţi
Publicat acum 1 ora si 7 minute
Bogdan Chirieac - Traian Băsescu, concluzii după prima zi de conflict între SUA, Israel şi Iran. Comparaţie cu invazia lui Putin din Ucraina. Cât va dura conflictul
Publicat acum 1 ora si 44 minute
Adrian Cozma, blocat în Dubai: Ne-au dus în adăposturi. Nu am crezut că aici e posibil să se întâmple asta
Cele mai citite știri
Publicat acum 8 ore si 6 minute
Valuri de rachete interceptate de Emiratele Arabe Unite. Explozii în Abu Dhabi, Dubai/ Imagini video din Doha
Publicat acum 12 ore si 43 minute
Israelul, "lovituri preventive" asupra Iranului, coordonate cu SUA. Update: Cea mai mare operaţiune de survol militar din istoria Forţelor Aeriene Israeliene - LIVE TEXT
Publicat acum 7 ore si 10 minute
Epic Fury, atacul care depășește tot ce s-a văzut. Ofensiva SUA - Israel, demonstrație de forță fără precedent față de Teheran/ Gen. Mîndrescu: Când se vor opri
Publicat acum 12 ore si 56 minute
Horoscop 28 februarie 2026. Astrolog Daniela Simulescu, previziunile pentru toate zodiile
Publicat acum 3 ore si 47 minute
Ținta atacului asupra Iranului. Diferenţa faţă de atacul din vara anului 2025
Soluția simplă la ”criza zăpezii”, de neimaginat în România
de
Val Vâlcu
Platforma sau norma? O nouă dezbatere după o dramă națională
de
Val Vâlcu
Rodica Mitu nu avea impulsul de a merge, dar a avut impulsul de a trăi. 31 ianuarie, o zi a oftatului în culori: Trei ani fără colega noastră de la DC News
de
Anca Murgoci
vezi arhiva de editoriale
x close