Ultimele știri
Politică
Război
Video
Lifestyle
Sănătate
Economie
Mai mult
▼
Facebook
YouTube
Instagram
Stiri
Diaspora
Internațional
Educație
Info utile
Justitie
Social
Stiinta
Anchete
Auto
Mass-media
Eveniment
Interviuri DCNews
Punctul pe zi
Bancul zilei
Comunicate de presa
Politica
Analiza Politica
Culise
Guvern
Parlament
Partide politice
Personalitati politice
Sondaje
Alegeri locale București 2025
Război
Video
Lifestyle
Retete
Modă
Vedete
Travel
Bizar
Magazin
Concursuri
Multimedia
Horoscop
Casa și Grădina
Beauty
Sanatate
Coronavirus
Academia de Sanatate
UMF Carol Davila
Economie
Educatie financiara
Sport
Personalitati din sport
Fotbal
Tenis
Volei
Handbal
Sporturi de iarna
Alte sporturi
Competitii
Cultura
Teatru - Dans
Film
Expozitii
Interviuri cultura
Muzica
Piata de arta
Carte
Tehnologie
IT & C
Mallcast
Politic
Monden
Social
Religie
Motivațional
Artiști și vedete
Curiozități
Tehnologie
Lifestyle
Siguranța rutieră din România
COMPAS
€ 5.2484
→
|
$ 4.5175
→
|
Subcategorii în Stiri
Diaspora
Internațional
Educatie
Info utile
Justiție
Social
Știinta
Anchete
Auto
Mass-media
Eveniment
Interviuri DCNews
Punctul pe zi
Bancul zilei
Comunicate de presa
Alegeri în două tururi
DCNews TV
Curs valutar:
€ 5.2484
→
|
$ 4.5175
→
Ultimele știri
Ultimele știri
Diaspora
Internațional
Educație
Info utile
Justitie
Social
Stiinta
Anchete
Auto
Mass-media
Eveniment
Interviuri DCNews
Punctul pe zi
Bancul zilei
Comunicate de presa
Politică
Politică
Analiza Politica
Culise
Guvern
Parlament
Partide politice
Personalitati politice
Sondaje
Alegeri locale București 2025
Război
Video
Lifestyle
Lifestyle
Retete
Modă
Vedete
Travel
Bizar
Magazin
Concursuri
Multimedia
Horoscop
Casa și Grădina
Beauty
Sănătate
Sănătate
Coronavirus
Academia de Sanatate
UMF Carol Davila
Economie
Economie
Educatie financiara
Sport
Sport
Personalitati din sport
Fotbal
Tenis
Volei
Handbal
Sporturi de iarna
Alte sporturi
Competitii
Cultură
Cultură
Teatru - Dans
Film
Expozitii
Interviuri cultura
Muzica
Piata de arta
Carte
Tehnologie
Tehnologie
IT & C
Mallcast
Mallcast
Politic
Monden
Social
Religie
Motivațional
Artiști și vedete
Curiozități
Tehnologie
Lifestyle
Siguranța rutieră din România
COMPAS
Poți descărca aplicația:
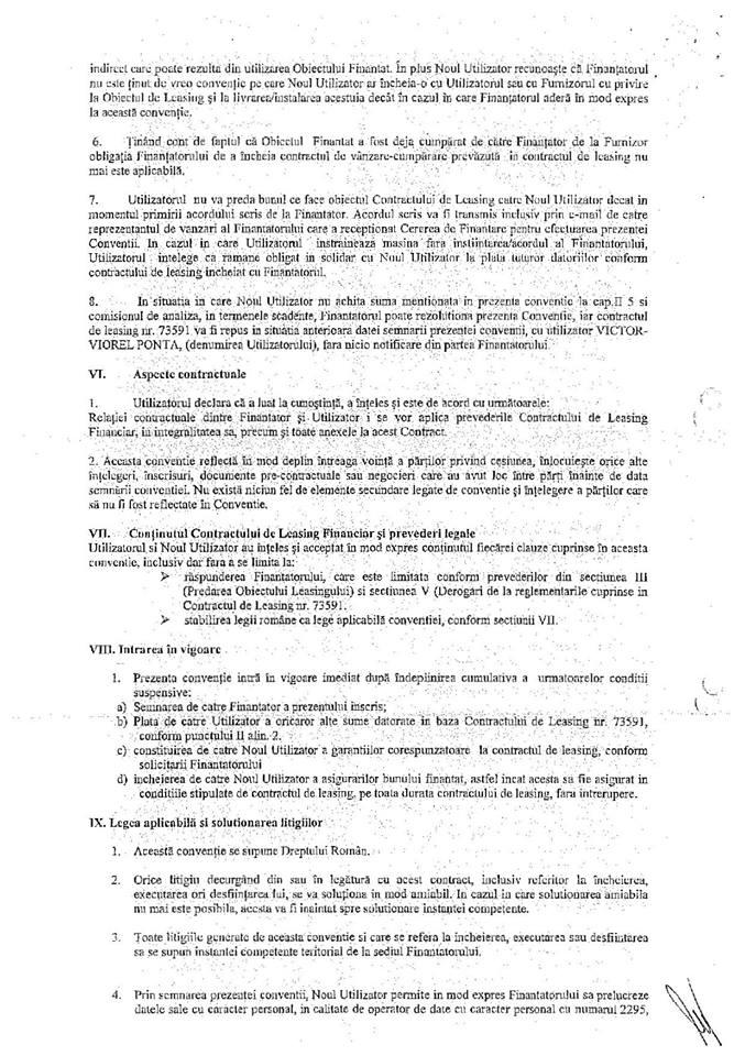
Victor Ponta, urmărit penal de DNA. Ce dovezi a prezentat în apărarea sa
← Înapoi la articol
← Înapoi la articol
Cele mai noi știri
Publicat acum 3 minute
Dezertor ucrainean, găsit de salvamontiști în Munții Maramureșului. A luptat aproape trei ani pe front
Publicat acum 17 minute
Patru contracte semnate de MApN în programul SAFE: Achiziții de sute de milioane de euro pentru apărare
Publicat acum 37 minute
Coloana oficială a lui Putin, echipată cu sisteme de război electronic și mitraliere în vizita din Kazahstan
Publicat acum 38 minute
Divergență la ÎCCJ. Judecătorii nu se pun de acord cu privire la procurorii Gigi Ștefan și Teodor Niță
Publicat acum 53 minute
Noi acuzații contra lui Andrew Tate. Procurorii DIICOT extind ancheta
Cele mai citite știri
Publicat acum 7 ore si 47 minute
Tezaur vechi de aproape 3.000 de ani, descoperit în Prahova de un detectorist de metale. Riscul pentru specialiști, explicat de Daniel Costache
Publicat acum 9 ore si 32 minute
Un cioban din Sălaj, cercetat penal pentru braconaj după ce ar fi ucis un urs cu toporul
Publicat acum 8 ore si 8 minute
Realitatea Plus, singurul post din Europa de Est acreditat de Casa Albă pentru G7. Ana Maria Păcuraru, în delegația oficială
Publicat acum 12 ore si 26 minute
Horoscop 28 mai 2026. Astrolog Daniela Simulescu, previziunile pentru toate zodiile
Publicat acum 8 ore si 0 minute
Austeritatea lui Bolojan, un eșec cu 233 de părinți
Austeritatea lui Bolojan, un eșec cu 233 de părinți
de
Val Vâlcu
De ce nu au venit Donald Trump şi Marco Rubio la Summitul Bucureşti B9
de
Val Vâlcu
Ioan Isaiu din Secretul Mariei a murit după o postare politică. Cum au explodat conspirațiile despre PSD, AUR și vaccin
de
Anca Murgoci
vezi arhiva de editoriale
x close